Caractérisation des propriétés matérielles des polymères pour les radômes et les pare-chocs, afin d'optimiser la transparence du radar

Les véhicules autonomes et semi-autonomes s'appuient sur des architectures matérielle et logicielle complexes pour recueillir et exploiter les informations provenant d'un grand nombre de capteurs radar. Afin de générer des données fiables, les capteurs nécessitent une vue dégagée des environnements. Les pare-chocs ou radômes montés devant les capteurs ne doivent pas déranger la fonctionnalité du radar. Cela nécessite des tests approfondis des pièces en plastique déployées et de leur structure polymère sous-jacente. Le R&S®QAR50 est l'outil idéal pour caractériser les propriétés matérielles des polymères et leurs influences sur la qualité du signal radar à un niveau précoce de la conception et lors du contrôle du développement matériel.

Fig. 1 : Influence des propriétés du polymère sur la performance radar
Fig. 1 : Influence des propriétés du polymère sur la performance radar
Open Lightbox

Votre tâche

Application

Les défis pour optimiser la composition des polymères pour les pare-chocs et les radômes sont multiples. Par exemple, le matériau doit permettre le juste équilibre entre la construction légère, l'apparence, la fonctionnalité et la liberté de conception. Avec l'augmentation de l'utilisation des radars dans les voitures, les propriétés matérielles des polymères utilisées pour les pare-chocs et les radômes sont devenues des facteurs clés dans la performance totale du radar, donnant lieu à de nouvelles exigences. Les réflexions et la non-concordance du matériau engendre des réflexions entre le radar et le pare-choc / radôme, entraînant la non visibilité du capteur et les cibles hôtes. Donc, la composition des polymères utilisés à l'extérieur de l'automobile doit être optimisée pour la bonne transparence du radar dès le début (voir Fig. 1). De meilleurs choix peuvent être effectués en sachant comment un polymère réfléchit, laisse passer et/ou absorbe l'énergie des fréquences radio dans la gamme de radar automobile.

Généralement, les mesures caractérisent principalement la permittivité d'un matériau. La permittivité, en termes simples, détermine la compression de longueur d'onde d'un signal émis au sein d'un matériau. L'épaisseur idéale d'un matériau résulte toujours d'un multiple de la moitié de la longueur d'onde au sein du matériau. La raison de cela est l'annulation des réflexions par interférence destructrice se produisant lors des transitions entre l'air et le matériau et entre le matériau et l'air.

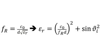
Afin de déterminer la permittivité relative (εr), l'épaisseur électrique de l'échantillon du matériau doit être connue. εr peut être déterminé après le calcul de la fréquence de résonance.

Déterminer la permittivité relative (εr)

Du fait des différents angles d'incidence du signal radar, un facteur de correction doit être inclus dans la formule ci-dessus. La permittivité relative est alors déterminée par :

Permittivité relative

L'angle moyen d'incidence exprimé par ϑi est inclus dans le facteur de correction. Il représente le nombre de moitié de longueurs d'ondes dans le matériau.

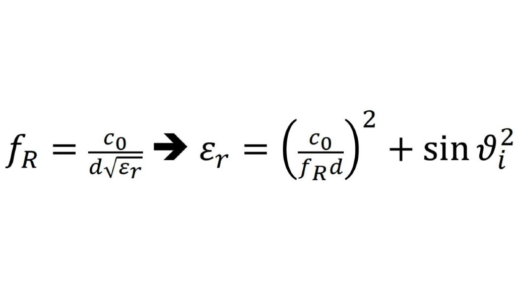
En supposant une épaisseur d'échantillon électrique de 2λ, la permittivité relative est obtenue comme suit :

Permittivité relative
Fig. 2 : Influence des polymères sur la transmission et la réflexion du signal radar
Fig. 2 : Influence des polymères sur la transmission et la réflexion du signal radar
Open Lightbox

La valeur εr et la netteté des minimums de pertes de réflexion et de transmission, peuvent être optimisées par les fabricants de matériaux. Cela nécessite la détermination continue de la permittivité au cours du développement, ainsi que la résolution des minimums de pertes de réflexion et de transmission. Cette procédure normalisée permet également d'optimiser l'influence des systèmes multi-couches, tel que la peinture, dans un processus itératif afin d'empêcher les interactions négatives entre le radar et le pare-choc / radôme à un niveau précoce du développement (voir Fig. 2).

Fig. 3 : Influence de l'épaisseur du matériau sur les pertes de réflexion et de transmission pour les radômes simple couche
Fig. 3 : Influence de l'épaisseur du matériau sur les pertes de réflexion et de transmission pour les radômes simple couche
Open Lightbox
Fig. 4 : Interprétation des mesures des pertes de transmission pour les radômes mono et multi-couches
Fig. 4 : Interprétation des mesures des pertes de transmission pour les radômes mono et multi-couches
Open Lightbox

L'enjeu

Le type de caractérisation de matériau le plus basique est l'utilisation d'une feuille de matériau diélectrique avec une épaisseur d et une permittivité εr. Des types de caractérisation plus complexes impliquent des matériaux multi-couches avec différentes épaisseurs et paramètres de matériaux, par exemple des polymères, des absorbeurs, des mousses ou des peintures. Ici, la complexité de la caractérisation complète augmente significativement du fait de l'épaisseur des couches individuelles et des possibles espaces d'air (voir Figs 3 et 4).

Fig. 5 : Influences de la peinture et des revêtements sur l'épaisseur du matériau d'un pare-choc
Fig. 5 : Influences de la peinture et des revêtements sur l'épaisseur du matériau d'un pare-choc
Open Lightbox

Les peintures métalliques en particulier ont le potentiel d'ajouter divers facteurs d'incertitude. Les pigments métalliques agissent comme des conducteurs avec les électrons qui sont séparés par les isolants. Les ondes électromagnétiques font osciller les électrons à l'intérieur du métal, polarisant ainsi la surface et augmentant considérablement la permittivité (voir Fig. 5).

Puisque toutes ces étapes doivent être répétées rapidement, une méthode de mesure simple qui délivre des résultats solides et fiables est nécessaire. Ici, l'utilisation des signaux RF pour effectuer des mesures de matériaux présente un certain nombre d'avantages importants. Tout d'abord, et peut-être le plus important, cette approche permet un test de matériau non-destructif. Dans de nombreux cas, nous voulons obtenir des informations à propos d'un matériau sans le détruire lors du processus. Un autre avantage important est que les signaux RF permettent des mesures de matériaux lorsque ces derniers subissent divers changements physiques, mécaniques, thermiques ou chimiques. L'approche utilisant les signaux RF pour effectuer des mesures sur des matériaux se focalise sur la détermination de la permittivité relative d'un matériau.

Une manière d'obtenir la permittivité relative est l'utilisation d'un analyseur de réseaux vectoriels (VNA). Le VNA mesure la transmission et la réflexion comme décrit dans ce qui suit. Pour d'autres détails, référez-vous au document référencé en page 5 de cette carte d'application.

Une approche adoptée pour le test non-destructif est la méthode de l'espace libre car elle est adaptée à la bande radar haute fréquence de 76 GHz. Cette dernière nécessite le système VNA, incluant un kit de calibration, pour travailler au sein de gamme de fréquence. La configuration est complexe et nécessite des connaissances détaillées du VNA afin d'obtenir des résultats précis et reproductibles. Les analyseurs de réseaux vectoriels réalisent des mesures aux points sélectionnés, ce qui signifie que la moindre déviation de l'angle a un effet important sur les valeurs de mesure. Une autre limitation est que les échantillons de matériaux doivent être relativement grands et plats afin d'être correctement éclairés par les antennes.

Solution Rohde & Schwarz

Pour tenir compte de l'importance croissante de la caractérisation des propriétés matérielles des polymères utilisés pour les composants extérieurs de véhicules, Rohde & Schwarz a développé le testeur de qualité de radômes automobiles R&S®QAR50.

Le R&S®QAR50 est l'outil idéal pour tester précisément la qualité des radômes et des pare-chocs dans la gamme des fréquences radar automobile au cours de toutes les phases de production, de la R&D jusqu'au test en fin de ligne (EOL) en production. Il utilise des centaines d'antennes réceptrices et émettrices pour caractériser rapidement des matériaux, des radômes et des pare-chocs. La technologie d'imagerie par micro-ondes, avec sa mise au point électronique, permet un positionnement plus flexible du DUT. Le R&S®QAR50 est fourni avec deux clusters d'antennes et des bandes de fréquences personnalisables. Il mesure la perte de transmission unidirectionnelle, la réflexion des deux côtés (par rapport au clusters supérieur et inférieur) et la phase de transmission – le tout au cours d'un cycle de mesure inférieur à 4 s. Les résultats sont directement comparables avec ceux obtenus par les mesures en espace libre utilisant un analyseur de réseaux vectoriels (voir tableau).

Approche conventionnelle Approche Rohde & Schwarz
Requiert :
  • Analyseur de réseaux vectoriels
  • 2 × convertisseur de fréquence bande E
  • 2 × antenne cône
  • Câbles RF
  • Kit de calibration
Requiert :
  • Testeur de qualité de radômes automobiles R&S®QAR50
  • Ensemble de vérification R&S®QAR50-Z44 (traçable avec les normes nationales)
Équipement de mesure RF complexe et coûteux Rentable et facile d'utilisation
Procédure de mesure complexe avec des temps de calibration et de mesure longs Résultats de mesure en moins de 4 s
Nécessite un ingénieur RF formé Ne nécessite aucune connaissances RF préalable
Adapté à la R&D Adapté pour la R&D et la production

Configuration de la mesure

La procédure pour la caractérisation du matériau comprend les étapes suivantes :

  • Mesure de l'épaisseur physique d
  • Positionnement de l'échantillon dans le R&S®QAR50
  • Réalisation de la mesure
  • Calcul de la permittivité relative εr en utilisant un script MATLAB® (automatisation simple possible)

Lors de l'analyse de l'influence d'un revêtement ou d'un primaire sur les propriétés de transmission et de réflexion de l'échantillon sous test, les deux variables peuvent être significativement dégradées par l'addition d'une couche de finition. Pour cette raison, nous recommandons également d'effectuer les mesures une fois la peinture finale apposée.

Le R&S®QAR50 mesure les valeurs moyennes de pertes de réflexion et de transmission pour les bandes de fréquences 1 et 2 pour une certaine zone sur le DUT et les affiche numériquement.
Le R&S®QAR50 mesure les valeurs moyennes de pertes de réflexion et de transmission pour les bandes de fréquences 1 et 2 pour une certaine zone sur le DUT et les affiche numériquement.
Open Lightbox

Configuration de l'instrument

Avec ses deux clusters, le R&S®QAR50 mesure les pertes de transmission unidirectionnelles et la réflexion relative standard par rapport aux clusters supérieur et inférieur simultanément dans les bandes 76 GHz à 77 GHz et 76 GHz à 81 GHz (bandes 1 et 2).

Lors de la caractérisation des matériaux plastique, l'interface utilisateur simplifiée révèle toutes les informations nécessaires en un coup d’œil. La navigation simplifiée du menu permet d'utiliser le testeur de radômes sans connaissances détaillées en RF. Le testeur affiche des valeurs pour les résultats des pertes de réflexion et de transmission, et fournit des informations relatives au positionnement du DUT. Cela permet une interprétation aisée des résultats de mesure, sans nécessiter de connaissances en RF.

L'option R&S®QAR50‑K10 fournit une gamme de fréquence de 72 GHz à 82 GHz et indique la réponse en fréquence des pertes de réflexion et de transmission mesurées.
L'option R&S®QAR50‑K10 fournit une gamme de fréquence de 72 GHz à 82 GHz et indique la réponse en fréquence des pertes de réflexion et de transmission mesurées.
Open Lightbox

Pour déterminer la permittivité relative, il est nécessaire d'afficher les pertes de réflexion et de transmission par rapport à la fréquence pour la bande de radar automobile. Avec l'option R&S®QAR50‑K10, la réponse en fréquence des pertes de réflexion et de transmission est indiquée dans la gamme de 72 GHz à 82 GHz.

Le R&S®QAR50 équipé avec l'option R&S®QAR50‑K10 indique les pertes de réflexion et de transmission ainsi que la réponse en fréquence pour les deux grandeurs.
Le R&S®QAR50 équipé avec l'option R&S®QAR50‑K10 indique les pertes de réflexion et de transmission ainsi que la réponse en fréquence pour les deux grandeurs.
Open Lightbox

Résultats de mesure

Du fait de son matériel de calcul puissant, le R&S®QAR50 est capable de traiter un grand nombre de données en un temps très court. Les images résultantes et les diagrammes de fréquence sont disponibles en quelques secondes. Selon les paramètres sélectionnés et les données à sauvegarder, des durées de cycle extrêmement rapides inférieures à 4 s peuvent être obtenues.

En ce qui concerne les paramètres mesurés, la précision, la fiabilité et la robustesse sont les grandeurs principales d'un appareil de mesure. Pour cette raison, le testeur de qualité des radômes automobiles R&S®QAR50 mesure actuellement la réflexion plutôt que de la calculer. Le calcul de la réflexion, basé sur la phase de transmission et les informations de pertes de transmission, est théoriquement possible mais engendre des imprécisions et sujet aux erreurs. Les réflexions ont une influence majeure sur la performance radar des radômes et des pare-chocs; il est donc essentiel d'être précis.

Ligne bleue : trace. Ligne en pointillées rouges : indicateur du minimum de la trace. Zone violette : indicateur de la bande radar.
Ligne bleue : trace. Ligne en pointillées rouges : indicateur du minimum de la trace. Zone violette : indicateur de la bande radar.
Open Lightbox

Les diagrammes des résultats indiquent la réponse en fréquence de la réflectivité du DUT (niveau), avec le niveau affiché en dB sur une gamme de fréquence spécifique. Le R&S®QAR50 évalue le niveau des résultats dans et autour des bandes radar typiques. Les diagrammes de résultats sont disponibles à la fois pour les mesures des pertes de réflexion et de transmission. Dans ces diagrammes, l'axe x représente la fréquence et l'axe y représente le niveau ou la réflexivité. La mise à l'échelle est ajustable.

Idéalement, la réponse en fréquence minimale est localisée dans la gamme de fréquence de fonctionnement du capteur radar utilisé avec le DUT. Les minimums déplacés indiquent qu'il y a des problèmes avec l'épaisseur électrique du DUT qui peuvent faire l'objet d'une amélioration. Calcul de la permittivité relative εr avec fR = 76,24 GHz :

Calcul de la permittivité relative
Ensemble de vérification R&S®QAR-Z44 traçable avec les normes nationales et internationales.
Ensemble de vérification R&S®QAR-Z44 traçable avec les normes nationales et internationales.
Open Lightbox

Afin de garantir la précision et la répétabilité élevées de la mesure, la performance de mesure du testeur doit être vérifiée de manière régulière. Avec l'ensemble de vérification R&S®QAR50‑Z44, la performance du R&S®QAR50 pour les mesures des pertes de réflexion et de transmission peut facilement être vérifiée. L'ensemble de vérification R&S®QAR50-Z44 est traçable pour les normes nationales et internationales, fournissant une solution unique.

Conclusion

Le test et l'optimisation des propriétés des radômes et des pare-chocs lors de la conception et la qualification des structures des matériaux utilisés sont très complexes, coûteux et chronophages. Il appartient donc aux entreprises chimiques de tester et valider la performance RF des polymères avant qu'ils ne soient mis en forme.

L'approche décrit ici permet une caractérisation des matériaux plus rapide et moins compliquée, ainsi que l'optimisation précocement. Une méthode normalisée pour déterminer la permittivité radar peut être intégrée au contrôle qualité. De cette manière, la qualité des matériaux peut être vérifiée précocement, évitant ainsi des coûts plus importants lors des étapes suivantes.

Le R&S®QAR50 est l'outil idéal pour la caractérisation précise des polymères et de leur influence potentielle sur la performance du capteur radar automobile dans la gamme de fréquence automobile tout au long des différentes phases de production, de la conception jusqu'au test en fin de ligne de production. Sa conception matérielle innovante permet des temps de mesure très rapides combinés à une prise en main facilitée. Le concept de mesure en combinaison avec une interface utilisateur simple ne nécessite aucune connaissance particulière en RF ou en micro-ondes.

Demander des informations

Do you have questions or need additional information? Simply fill out this form and we will get right back to you.
For service/support requests, please go here to log in or register.

Marketing de permission

Votre demande a bien été envoyée ! Nous vous contacterons dans les plus brefs délais.
An error is occurred, please try it again later.