D band Dk/Df measurement with a Fabry-Perot open resonator

A Fabry-Pérot open resonator (FPOR) provided by QWED allows dielectric sheets to be accurately characterized in the frequency range from 110 GHz to 170 GHz using just one fixture.

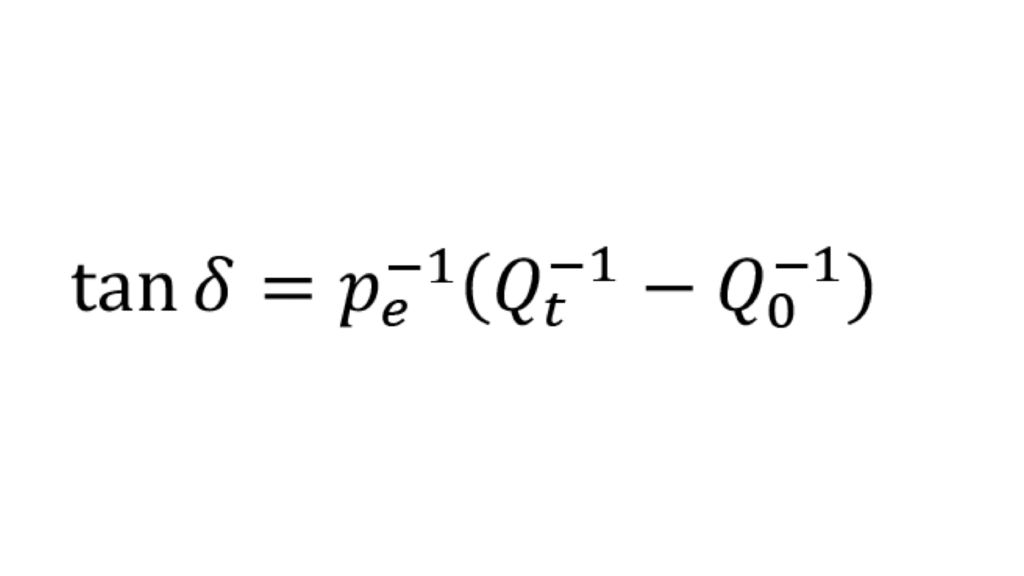
Software controlled Fabry-Pérot open resonator setup with ZNA26 and two R&S®ZC170
Software controlled Fabry-Pérot open resonator setup with an R&S®ZNA26 vector network analyzer and two R&S®ZC170 millimeterwave converters.
Open Lightbox

Your task

You need to know the microwave properties of a dielectric sheet of the material that you produce yourself or buy from a third-party manufacturer. This knowledge can be useful either in the optimization of the material production process or in the design of a millimeterwave circuit, for example for 6G technology purposes.

These materials can be polymers (e.g. polypropylene, polyvinyl chloride), PCB substrates (e.g. FR-4, RT5880), glass (e.g. fused silica, borosilicates) or single-crystal wafers (e.g. quartz, sapphire). The loss tangent of the material can be as low as 1 × 10–4 and it still can be measured with outstanding accuracy in the range from 110 GHz to 170 GHz. If a non-resonant measurement fixture, such as a freespace or waveguide based solution, cannot meet your requirements in the D band, try the Fabry-Pérot open resonator (FPOR).

FPOR based solution

The FPOR provides an accurate technique for measuring the complex permittivity of dielectric films in the frequency range from 110 GHz to 170 GHz with a 1.5 GHz resolution. In addition to the FPOR fixture, an R&S®ZNA26 vector network analyzer (VNA) with two ports and a PC are required for the measurement, which is automatic, quick and easy to perform. In the D band, a waveguide adapter is also required to connect the two R&S®ZC170 millimeterwave converters to the coax-coupled FPOR.

Characterization of the material under test (MUT) is undertaken in the FPOR at consecutive odd Gaussian modes, denoted as TEM0,0,q, where q is a longitudinal mode order. The MUT is typically located exactly in the middle of the resonator in a Gaussian beam waist at the maximum of the electric field. The MUT is inserted into the FPOR on a dedicated polycarbonate sample holder with a circular opening in the middle (outer diameter < 50 mm). If the sample fits into the FPOR, measurement is non-destructive and no special preparation of the MUT is required.

Raw measurement data, in particular changes in the resonance frequency and the corresponding Q factor due to insertion of the MUT, are translated into the dielectric constant (Dk) and dissipation factor (Df), respectively. For Dk, look-up tables of the resonance frequency as a function of the thickness and Dk of the MUT are computed during a preprocessing stage using an electromagnetic (EM) model of the FPOR.

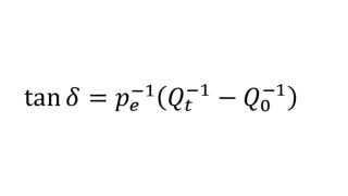
Once the Dk of the MUT is evaluated, the corresponding Df is computed using the following formula:

formula

Qt is the Q factor of the resonator with a sample and Q0 without a sample, and pe denotes an electric energy filling factor of the MUT. The latter is evaluated using a frequency incremental rule.

QWED logo
QWED provides a sophisticated solution for EM material characterization using a Fabry-Pérot open resonator. Visit www.qwed.eu
Open Lightbox

Measurement of dielectric constant and loss tangent

Dk uncertainty is mainly and almost directly driven by the uncertainty of the MUT’s thickness. For instance, 1 % of the thickness uncertainty leads to about 1 % of the Dk uncertainty. The accuracy of the Dk measurement method itself is 0.25 %, provided that decent measurement conditions are maintained. Additionally, fluctuations due to thermal drifts are compensated.

Df uncertainty depends on many factors, such as the MUT’s thickness, Df level, vector network analyzer settings and vibrations. However, a Q factor of well over 200 000 allows an uncertainty of better than ±5 % to be achieved, even for materials with losses as low as 1 × 10–4.

Due to the fact that Gaussian modes exploited in the FPOR are linearly polarized, in-plane anisotropy of the sample can be measured, which is not possible with alternative resonant methods. Various types of materials can exhibit such in-plane anisotropy, due to either physical structure (e.g. crystals) or material processing (e.g. some polystyrene films). If such a sample is arbitrarily inserted into the FPOR, it is very likely that mode splitting will occur and, in turn, two resonance frequencies will be present. In this case, the sample must be rotated until one of the resonance curves disappears. The complex permittivity measurement can then be continued. The sample is then rotated an additional 90 degrees and the entire procedure is repeated. Typically, Df does not exhibit anisotropy as much as Dk does.

Dk of different materials in the D band
Dk of different materials in the D band
Dk of high-impact polystyrene (HIPS) with in-plane anisotropy
Df of different materials in the D band
Df of different materials in the D band
Df of high-impact polystyrene with in-plane anisotropy
Df of high-impact polystyrene with in-plane anisotropy

Request information

Do you have questions or need additional information? Simply fill out this form and we will get right back to you.
For service/support requests, please go here to log in or register.

Marketing permission

Your request has been sent successfully. We will contact you shortly.
An error is occurred, please try it again later.