Verificación de la impedancia de puertos RF

Para cualquier sistema de radiofrecuencia es esencial contar con puertos RF correctamente adaptados. Por ejemplo, los puertos adaptados protegen los puertos de salida de amplificador contra las sobrecargas de potencia reflejada. Esta potencia reflejada resulta lesiva y puede llegar a destruir el amplificador completo. Los puertos adaptados también maximizan la transmisión de potencia, lo cual alarga de manera efectiva la vida de las baterías de los productos inalámbricos como los diseñados para el Internet de las cosas (IoT).

Su misión

En el mundo de la radiofrecuencia, existen dos valores estándar para la impedancia característica de los componentes referidos a masa:

50 Ω y 75 Ω. La mayoría de los cables, conectores y componentes de radiofrecuencia están adaptados a uno de esos dos valores. 75 Ω es un valor muy utilizado en las aplicaciones de TV (también por cable) debido a su proximidad a 77 Ω, que es el punto de mínima atenuación de radiofrecuencia. 50 Ω representa un equilibrio entre una alta capacidad de transmisión de potencia (30 Ω) y una baja atenuación. Sin embargo, es importante que todos los componentes estén adaptados al mismo valor de impedancia.

Adaptación de impedancia (ZL = Z0)
Adaptación de impedancia
Abrir Lightbox

Obtener la máxima transmisión de potencia

Según el teorema de transferencia de potencia, lo esencial para obtener la máxima transferencia de potencia es la adaptación entre la impedancia de fuente Z0 y la impedancia de carga ZL. Si hay adaptación, ZL es igual a Z0.

Reducción de la reflexión de potencia en radiofrecuencia

El efecto de la adaptación de puertos puede expresarse mediante tres parámetros distintos:

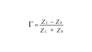
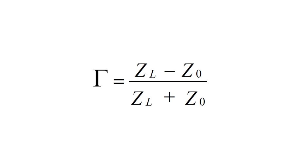
1. Coeficiente de reflexión

El porcentaje de la onda reflejada en comparación con la onda incidente se designa mediante Γ:

Coeficiente de reflexión

Una adaptación perfecta entre la fuente y la carga significa Γ = 0, y una reflexión completa equivale a |Γ| = 1.

2. Relación de onda estacionaria (ROE)

La reflexión también puede contemplarse desde el punto de vista de la relación de onda estacionaria (ROE):

Relación de onda estacionaria (ROE)

La ROE es una medida de la eficiencia en la transmisión de potencia. ROE = 1 significa una óptima transmisión de potencia sin reflexión, mientras que los valores superiores indican que existe un potencial de mejora de la adaptación de impedancia. Una mayor potencia reflejada implica una menor potencia transmitida, lo cual provoca un consumo de energía innecesario por parte de la batería. Además, puede dañar la fuente de señal.

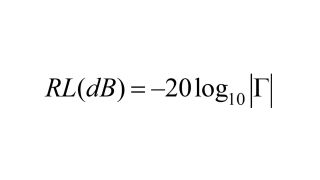
3. Pérdida de retorno

La reflexión también puede expresarse mediante la pérdida de retorno:

Pérdida de retorno
Círculos de reactancia
Círculos de reactancia
Abrir Lightbox

Mide la calidad de la adaptación de puertos. Lo que se busca es la mayor pérdida de retorno posible. La pérdida de retorno es una representación preferible a la ROE, ya que ofrece una mejor resolución de las buenas características de adaptación.

Para visualizar la medida de una adaptación de carga, puede usarse una carta de Smith. Es una herramienta excelente y de eficacia demostrada para la visualización de las características de adaptación. Muestra de manera gráfica la impedancia de las porciones resistiva (círculos de resistencia) y reactiva (círculos de reactancia); la mitad superior es de carácter inductivo, y la mitad inferior de carácter capacitivo. Cada punto del gráfico identifica la impedancia asociada a una determinada frecuencia. Estos valores se representan mediante el número complejo Z = R ± jX. La porción resistiva se indica mediante la parte real R, y la porción reactiva, mediante la parte imaginaria.

Círculos de resistencia
Círculos de resistencia
Abrir Lightbox

En una carta de Smith tradicional, la resistencia se eleva desde 0 (extremo izquierdo del gráfico) hasta infinito (extremo derecho del gráfico). La mitad superior del gráfico muestra valores positivos de jX, y por lo tanto refleja un comportamiento inductivo de la impedancia, mientras que en la mitad inferior los valores son negativos y el comportamiento es capacitivo. Tenga en cuenta que la carta de Smith se normaliza a la impedancia de referencia (50 Ω o 75 Ω) en función del equipamiento usado.

Solución Rohde & Schwarz

Una manera sencilla de obtener unas buenas características de impedancia es seleccionar los componentes adecuados y verificarlos mediante medición. La manera más fácil de realizar esta medición es usar un analizador vectorial de redes (VNA) con visualización de la carta de Smith. El R&S®FPC1500 ofrece un triple valor. No solo es un excelente analizador de espectro, de precio módico y provisto de una fuente de señal independiente. además es un analizador vectorial de redes monopuerto con puente de ROE integrado. Por otra parte, la visualización de la carta de Smith y las funciones de marcador incorporadas convierten automáticamente la impedancia normalizada a ohmios en función del sistema de impedancia seleccionado.

La calibración en el plano de medida, es decir, la interfaz entre la ubicación de la red de acoplamiento y los cables del analizador de redes, resulta transcendental para compensar los efectos de los cables y los conectores. La calibración manual es propensa a errores y consume mucho tiempo al conmutar manualmente los estándares Open (circuito abierto), Short (cortocircuito) y Load (carga). La unidad de calibración R&S®ZN-Z103 automatiza la conmutación de estándares. Esto ayuda a reducir los errores de conexión y reduce el tiempo de calibración a unos pocos segundos.

En primer lugar, ajuste las condiciones de medida (el rango de frecuencias deseado, el ancho de banda de resolución y el número de puntos de medida). Luego conecte el R&S®ZN-Z103 al puerto USB del R&S®FPC1500. El instrumento reconocerá automáticamente la unidad de calibración. A continuación, conecte uno de los extremos del cable coaxial al puerto de salida del R&S®FPC1500 y el otro extremo a la unidad de calibración. Pulse «Calibrate → Full 1-port» (Calibrar → Comp. 1 pto). El instrumento se calibrará y estará listo para examinar el dispositivo bajo prueba.

Más abajo encontrará capturas de pantalla con ejemplos de resultados en REO y en pérdida de retorno, así como una carta de Smith dentro de la banda ISM de 2,4 GHz:

Ejemplos de resultados en REO
Aunque en términos reales no es posible alcanzar una REO = 1, un valor de aprox. 1,6 resulta aceptable. Como regla general, la ROE debería ser <1,5.
Ejemplos de resultados en REO
Mediante cálculo manual o simplemente pulsando un botón, la pérdida de retorno es de aprox. 12 dB.
Impedancia revelada en una carta de Smith
Impedancia revelada en una carta de Smith
Puerto de medida FPC1500 en un dispositivo de radiofrecuencia
Puerto de medida R&S®FPC1500 en un dispositivo de radiofrecuencia
Abrir Lightbox

Resumen

La verificación de puertos de radiofrecuencia es un componente clave para minimizar la pérdida o potencia reflejada y maximizar la vida de la batería. También evita el sobrecalentamiento y la destrucción de los componentes. El R&S®FPC1500 es una excelente herramienta, económica y de fácil manejo para este tipo de verificación.

Soluciones relacionadas

Solicitar información

Do you have questions or need additional information? Simply fill out this form and we will get right back to you.
For service/support requests, please go here to log in or register.

Permiso de marketing

Se ha enviado su solicitud. Nos pondremos en contacto con usted lo antes posible.
An error is occurred, please try it again later.