Caractérisation des propriétés de matériaux polymères pour les applications automobiles
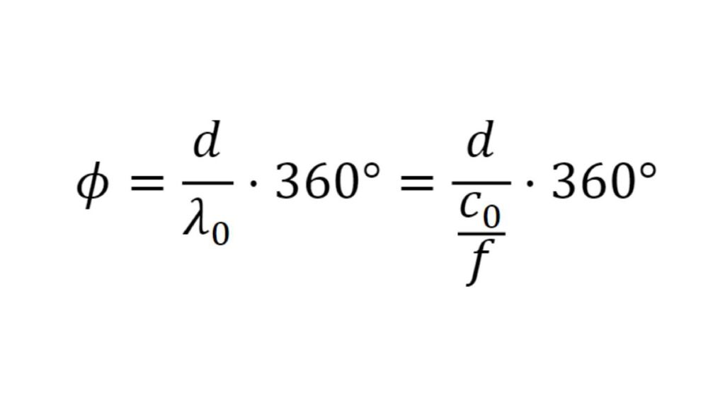
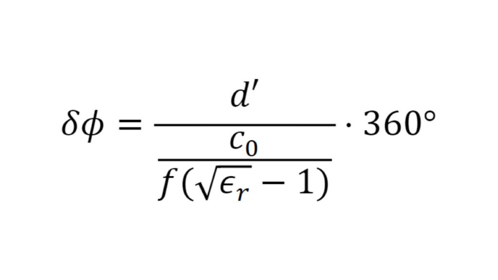
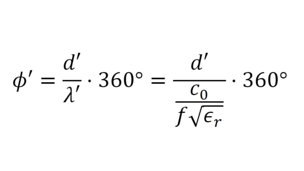
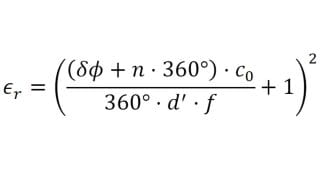
Les capteurs radar automobiles intégrés dans les pare-chocs doivent émettre dans le bon domaine fréquentiel. Afin de cacher les capteurs, des zones radar transparentes sont généralement peintes comme le reste du véhicule. Vous devez connaître les propriétés matérielles du pare-choc lors de la sélection de la peinture et des revêtements. Par le passé, des configurations quasi-optique ou à base de guides d'ondes avec des analyseurs de réseaux vectoriels (VNA) étaient utilisées. Cette carte d'application décrit une méthode de caractérisation de matériaux simplifiée dans le domaine fréquentiel des radars automobiles (76 GHz à 81 GHz) en utilisant le testeur de radômes automobiles R&S®QAR50.






