Análisis de pulsos de RF de radar con un osciloscopio

El análisis de impulsos de RF es un aspecto básico de las aplicaciones de radar por pulsos, p. ej. para el control del tránsito aéreo (ATC), radares marítimos o mediciones científicas de la ionosfera. Es fundamental analizar la envolvente del impulso en el dominio temporal, ya que contiene información importante necesaria para caracterizar la aplicación. El osciloscopio digital R&S®RTO es un instrumento de medición sumamente práctico para analizar las características de los impulsos.

Su misión

Su misión consiste en medir la frecuencia, el tiempo de subida/bajada, el intervalo de repetición de impulsos (PRI), la duración y la amplitud de los impulsos de RF de radar para comprobar si cumplen con sus requisitos (Richard, Mark (2013): Fundamentals of Radar Signal Processing. 2.ª edición: McGraw-Hill Companies).

A partir de estos parámetros, el usuario determina mediciones de rango (a partir del PRI) y de resolución (a partir de la duración). Utiliza las mediciones de tiempo de subida/bajada para caracterizar la eficiencia espectral y garantizar que no se produzcan transmisiones fuera de banda. Adicionalmente, desea analizar variaciones de amplitud entre impulsos.

Solución de prueba y medición

El osciloscopio digital R&S®RTO es capaz de analizar impulsos de RF con frecuencias de hasta 6 GHz. Para analizar la envolvente del impulso de RF es necesario demodular la señal. Un demodulador AM convencional rectifica la señal y filtra los componentes de RF con un filtro paso bajo para detectar la envolvente. Al aplicarse el filtro paso bajo, la señal se promedia a lo largo del tiempo. Como consecuencia de esta promediación, la amplitud de la señal demodulada no coincide con la envolvente original.

Por lo tanto, el resultado de la medición de amplitud es incorrecta. Para corregir las mediciones se deduce y aplica un factor de corrección lineal. Gracias a las funciones matemáticas avanzadas que incorporan los osciloscopios R&S®RTO con el editor de fórmulas matemáticas R&S®RTO, estas correcciones pueden llevarse a cabo en la forma de onda medida y permiten obtener valores de amplitud correctos.

Secuencia de semiondas rectificadas
Secuencia de semiondas rectificadas: Fig. 1 - Un pulso es una secuencia de semiondas rectificadas. Su energía equivale al rectángulo.
Abrir Lightbox

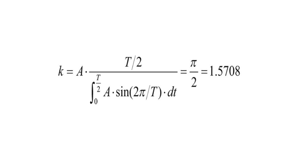
Trasfondo matemático

El factor de corrección lineal k compensa el efecto del demodulador AM. Para calcular el factor k, el filtro paso bajo del demodulador AM se aproxima utilizando la señal sinusoidal (línea azul en la figura 1) con un periodo de T/2.

La figura 1 muestra un pulso rectificado como secuencia de señales sinusoidales. Existe una relación fija entre esta energía media y la amplitud de la envolvente. La integral de la primera mitad del periodo (el denominador de la ecuación) es la energía promedia, la cual se muestra en la figura 1 en forma de rectángulo. La fórmula para el factor k es la relación entre la amplitud A de la señal sinusoidal y la amplitud de la envolvente.

Tras resolver la integral, el periodo T se neutraliza, dando como resultado un valor único:

El factor k se utiliza en la ecuación del filtro paso bajo para equilibrar la diferencia entre la amplitud real de la envolvente y la amplitud visualizada.

Aplicación

Para demostrar la aplicación se utiliza como ejemplo un pulso de una señal de radar para ATC. La señal tiene las siguientes características:

  • Frecuencia portadora de 2,8 GHz (banda S)
  • PRI de 757 μs con una duración de impulso de 1 μs
  • Tiempo de subida y de bajada de tsubida= tbajada= 80 ns
Fig. 2 - Editor de fórmula: ecuación para calcular la envolvente multiplicada por el factor k = π/2.
Fig. 2 - Editor de fórmula: ecuación para calcular la envolvente multiplicada por el factor k = π/2.
Abrir Lightbox

Este impulso es analizado por el R&S®RTO. La fig. 2 muestra la ecuación para la envolvente en la función matemática del R&S®RTO (editor de fórmulas), que utiliza el factor de corrección k= π/2.

Para obtener la mejor aproximación posible de la envolvente es necesario optimizar la frecuencia del filtro paso bajo. Con una frecuencia de corte baja es posible suprimir el rizado, pero el proceso de estabilización es lento. Con una frecuencia de corte más alta, el proceso de estabilización es más rápido, pero aparece más rizado. En este ejemplo, se utiliza fcorte= 50 MHzpara la frecuencia de corte. Con la aproximación conocida tsubida= 0.35/fcorte= 0.35/(50 MHz) = 7.0 ns, pueden analizarse envolventes con tiempos de subida mayores a 7.0 ns.

En la figura 3, la traza amarilla es la onda portadora modulada y la traza negra representa la envolvente calculada y corregida de la modulación de amplitud.

El cálculo en esta medición tiene un error teórico de < 1.5 %debido a que el filtro paso bajo que se utiliza es una aproximación de la media del cálculo de integral. La envolvente calculada se emplea para medir correctamente la amplitud, el tiempo de subida/bajada y la duración del pulso modulado. La casilla de resultados «Meas Results 1» situada a la derecha en la figura 3 muestra las mediciones finales del pulso de RF.

El modo de historial se utiliza para medir el PRI. Esta medida se describe en una nota de aplicación por separado (nota de aplicación 1TD02 «Análisis de señales avanzado con el modo de historial del osciloscopio R&S®RTO»; M. Hellwig, T. Kuhwald).

Resumen

El osciloscopio digital R&S®RTO analiza impulsos de RF hasta el ancho de banda máximo del instrumento utilizado. El análisis de impulsos de RF incluye parámetros de frecuencia, PRI, duración del impulso y tiempo de subida/bajada. El factor k de corrección calculado se utiliza para ajustar las mediciones de amplitud de los impulsos de RF con el fin de obtener la amplitud correcta de la envolvente del pulso de RF.

Ampliación del flanco ascendente del impulso de RF con la envolvente rectificada agregada en forma de traza negra.
Fig. 3 Ampliación del flanco ascendente del impulso de RF con la envolvente rectificada agregada en forma de traza negra.

Soluciones relacionadas

Solicitar información

Do you have questions or need additional information? Simply fill out this form and we will get right back to you.
For service/support requests, please go here to log in or register.

Permiso de marketing

Se ha enviado su solicitud. Nos pondremos en contacto con usted en breve.
An error is occurred, please try it again later.